FB LABO ~エレクトロニクス研究所~
筆者の家のシャックでは、現在木製の自作の棚を使っています。最近、近所のOMからスペクトラムアナライザとシグナルジェネレータを譲り受けたので、置き場所を作るために見た目と、実用性を兼ね備えた棚を再度自作しましたので、その製作例をご紹介します。今回はネジ止めのみで様々な棚が作れるアルミフレームを使用します。
製作する上での条件:
① ある程度の重さにも耐えられること
② 長めのアンテナをつけたハンディ機を置くスペースを確保
③ 製作費を安くすること
④ ケーブル類をきれいに収納するスペースを確保
以上を踏まえた上でざっと配置を考えるとこのようになります。

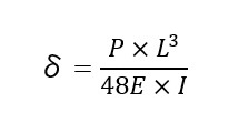
ここで、この構造の場合での耐荷重を計算してみると…
・耐荷重とは?
アルミフレームは、メーカーにより使用推奨耐荷重が定められており、この範囲に収まるように設計することによって安全な棚を作ることができます。
アルミフレームの使用推奨荷重はフレーム両端を保持して集中荷重を加えたときのたわみがフレーム長さの1/1000になるように設定されています。限界荷重を超えてしまうと、フレームが折れる可能性があるので注意が必要です。
しかし、この表ではフレーム一本あたりの計算であり、実際に棚として製作する際は計算結果が変わってきます。その時に、この式を使用して耐荷重を計算することができます。また、上の表を見てたわみの大きさがたわみ許容値内であれば、使用推奨荷重を超えていないということになります。
等分布荷重と考える場合

中央に集中荷重と考える場合

P(N)=荷重
L(mm)=フレームの長さ
E(N/mm2)=縦弾性係数(ヤング率) 69,972N/mm2 (定数)
I(mm4)=※断面2次モーメント
δ(mm)=たわみ縦弾性
※アルミフレームメーカーホームページに記載
次に、②の長めのアンテナを付けたハンディ機を置くスペースを考えてみます。現状では一番上にハンディ機を置いていますが、ハンディ機の後ろ側が使いづらくデットスペースになってしまっているため、ここで作る棚では改善してみようと思います。

現在の状況
ここの中で一番大きい充電器は一番手前のIC-DU65Cの充電器で奥行きが10cmなので、幅10cmほどの空間を上部に開けてやれば良いということになります。

実際の充電器の写真

棚の上部の設計
これを踏まえた上で上部のみの構造を考えるとこのようになり、全体の奥行きを30cmとすると20cmの棚が作れるようになります。20cmの幅があれば、参考書や雑誌なども余裕で置ける幅なので、狭いスペースを有効活用できます。

実際の参考書の奥行
ここまで考えたところで、次回は設計ソフトを用いて、詳しい設計をしていきます。
FB LABO ~エレクトロニクス研究所~ バックナンバー
2022.11.15
11月号後半の記事をアップしました
2022.11.1
11月号の記事をアップしました
2022.10.17
10月号後半の記事をアップしました
2022.10.3
10月号の記事をアップしました
2022.9.15
9月号後半の記事をアップしました
2022.9.1
9月号の記事をアップしました
2022.8.15
8月号後半の記事をアップしました
2022.8.1
8月号の記事をアップしました
2022.7.15
7月号後半の記事をアップしました
2022.7.1
7月号の記事をアップしました
2022.6.15
6月号後半の記事をアップしました
トップページに表示する表紙写真を募集中です。横1000x縦540ピクセルのサイズでご自慢の写真をメール添付でご送付ください。(infoアットマークfbnews.jp) 採用者には、月刊FB NEWSロゴ入りマグネットバーを送らせていただきます。 なお「撮影者: JL3ZGL」の様に表記させていただきますが、表記不要の方は、その旨合わせてご連絡ください。
2022.6.1
6月号の記事をアップしました
6月4日(土)、JH1CBX/3が14MHz SSBに初オンエアします。
入感がありましたらぜひお声がけください。
2022.5.16
5月号後半の記事をアップしました
2022.5.2
5月号の記事をアップしました
5月14日(土)、JL3ZGLはオペレーターにMasacoさんを迎えHAMtte交信パーティに
参加します。詳しくは4月号のニュースをご確認ください。
2022.4.15
4月号後半の記事をアップしました
2022.4.1
4月号の記事をアップしました
2022.3.15
3月号後半の記事をアップしました
2022.3.1
3月号の記事をアップしました
2022.2.15
2月号後半の記事をアップしました
2022.2.1
2月号の記事をアップしました
2022.1.17
1月号後半の記事をアップしました
2022.1.5
1月号の記事をアップしました
トップページに表示する表紙写真を募集中です。横1000x縦540ピクセルのサイズでご自慢の写真をメール添付でご送付ください。(infoアットマークfbnews.jp)
採用者には、月刊FB NEWSロゴ入りマグネットバーを送らせていただきます。
なお「撮影者: JA3YUA」の様に表記させていただきますが、表記不要の方は、その旨合わせてご連絡ください。
2021.12.15
12月号後半の記事をアップしました
2021.12.1
12月号の記事をアップしました
2021.11.15
11月号後半の記事をアップしました
2021.11.01
2021年11月号の記事をアップしました
2021.10.15
10月号後半の記事をアップしました
2021.10.01
2021年10月号の記事をアップしました
2021.09.15
9月号後半の記事をアップしました
2021.09.01
2021年9月号の記事をアップしました
2021.08.16
8月号後半の記事をアップしました
2021.08.02
2021年8月号の記事をアップしました
2021.07.15
7月号後半の記事をアップしました
2021.07.01
2021年7月号の記事をアップしました
2021.06.15
6月号後半の記事をアップしました
2021.06.01
2021年6月号の記事をアップしました
2021.05.17
5月号後半の記事をアップしました
2021.05.06
2021年5月号の記事をアップしました
2021.04.15
4月号後半の記事をアップしました
2021.04.01
2021年4月号の記事をアップしました
連載記事 Masacoの「むせんのせかい」はコロナ禍の影響により、取材ができない状況が続いており、状況が改善されるまで不定期掲載とさせていただきます。よろしくお願いいたします。
2021.03.15
3月号後半の記事をアップしました
連載記事「今月のハム」はコロナ禍の影響により、取材ができない状況が続いており、状況が改善されるまで不定期掲載とさせていただきます。よろしくお願いいたします。
2021.03.01
2021年3月号の記事をアップしました
2021.02.15
2月号後半の記事をアップしました
2021.02.01
2021年2月号の記事をアップしました
2021.01.15
1月号後半の記事をアップしました
2021.01.05
2021年1月号の記事をアップしました
2020.12.15
12月号後半の記事をアップしました
2020.12.01
2020年12月号の記事をアップしました
2020.11.16
11月号後半の記事をアップしました
2020.11.02
2020年11月号の記事をアップしました
2020.10.15
10月号後半の記事をアップしました
2020.10.01
2020年10月号の記事をアップしました
2020.09.15
9月号後半の記事をアップしました
2020.09.01
2020年9月号の記事をアップしました
2020.08.17
8月号後半の記事をアップしました
2020.08.03
2020年8月号の記事をアップしました
2020.07.15
7月号後半の記事をアップしました
2020.07.01
2020年7月号の記事をアップしました
2020.06.15
6月号後半の記事をアップしました
2020.06.01
2020年6月号の記事をアップしました
2020.05.01
2020年5月号の記事をアップしました
2020.04.15
4月号後半の記事をアップしました
2020.04.01
2020年4月号の記事をアップしました
2020.03.16
3月号後半の記事をアップしました
2020.03.09
JARD、eラーニングでのアマチュア無線国家資格取得を呼び掛けるお知らせを、臨時休校で自宅待機中の小中高生に向けて発表。詳しくはこちら。
2020.03.02
2020年3月号の記事をアップしました
2020.02.17
2月号後半の記事をアップしました
2020.02.03
2020年2月号の記事をアップしました
2020.01.15
1月号後半の記事をアップしました
2020.01.06
2020年1月号の記事をアップしました
2019.12.16
12月号後半の記事をアップしました
2019.12.02
2019年12月号の記事をアップしました
2019.11.15
11月号後半の記事をアップしました
2019.11.01
2019年11月号の記事をアップしました
2019.10.15
10月号後半の記事をアップしました
2019.10.01
2019年10月号の記事をアップしました
2019.09.17
9月号後半の記事をアップしました
2019.09.02
2019年9月号の記事をアップしました
2019.08.16
8月号後半の記事をアップしました
2019.08.01
2019年8月号の記事をアップしました
2019.07.16
7月号後半の記事をアップしました
2019.07.01
2019年7月号の記事をアップしました
2019.06.17
6月号後半の記事をアップしました
2019.06.01
2019年6月号の記事をアップしました
2019.05.20
5月号後半の記事をアップしました
2019.05.07
2019年5月号の記事をアップしました
2019.04.15
4月号後半の記事をアップしました
2019.04.01
2019年4月号の記事をアップしました
2019.03.15
3月号後半の記事をアップしました
2019.03.01
2019年3月号の記事をアップしました
2019.02.15
2月号後半の記事をアップしました
2019.02.01
2019年2月号の記事をアップしました
2019.01.18
1月号後半の記事をアップしました
2019.01.07
2019年1月号の記事をアップしました
2018.12.17
12月号後半の記事をアップしました
2018.12.01
2018年12月号の記事をアップしました
2018.11.15
11月号後半の記事をアップしました
2018.11.01
2018年11月号の記事をアップしました
2018.10.15
10月号後半の記事をアップしました
2018.10.01
2018年10月号の記事をアップしました
2018.09.15
9月号後半の記事をアップしました
2018.09.01
2018年9月号の記事をアップしました
2018.08.17
8月号後半の記事をアップしました
2018.08.01
2018年8月号の記事をアップしました
2018.07.17
7月号後半の記事をアップしました
2018.07.02
2018年7月号の記事をアップしました
2018.06.15
6月号後半の記事をアップしました
2018.06.01
2018年6月号の記事をアップしました
2018.05.15
5月号後半の記事をアップしました
2018.05.01
2018年5月号の記事をアップしました
2018.04.16
4月号後半の記事をアップしました
2018.04.02
2018年4月号の記事をアップしました
2018.03.15
3月号後半の記事をアップしました
2018.03.01
2018年3月号の記事をアップしました
2018.02.15
2月号後半の記事をアップしました
2018.02.01
2018年2月号の記事をアップしました
2018.01.15
1月号後半の記事をアップしました
2018.01.05
2018年1月号の記事をアップしました
2017.12.15
12月号後半の記事をアップしました
2017.12.1
12月号をアップしました
2017.11.15
11月号後半の記事をアップしました
2017.11.1
11月号をアップしました
2017.10.16
10月号後半の記事をアップしました
2017.10.2
10月号をアップしました
2017.9.15
What a healthy time! ~健康を応援する特別なお料理~/第3回 食物繊維たっぷり! 海藻の和風リゾット、FB Monthly Fashion/第9回 秋っぽい柄&色コーデ、子供の無線教室/第9回 「アンテナの形や大きさに注目!!」を掲載しました
2017.9.4
<速報>ハムフェア2017を掲載しました
2017.9.1
9月号をアップしました
2017.8.17
What a healthy time! ~健康を応援する特別なお料理~/第2回 和風のポトフ 納豆ソース添え、FB Monthly Fashion/第8回 夏のお出かけコーデ、子供の無線教室/第8回 「無線機にはどんなものがあるの?」を掲載しました
2017.8.1
8月号をアップしました
2017.7.18
What a healthy time! ~健康を応援する特別なお料理~/第1回 メロンの冷製スープ ナッツのアイスクリームのせ、FB Monthly Fashion/第7回 コットンTシャツコーデとボーイズコーデ、子供の無線教室/第7回 「電波はどうやって海外や宇宙に届くの?」を掲載しました
2017.7.1
7月号をアップしました
2017.6.15
What a tasty time! ~グルメYLたちのGirl'sトーク♥~/第9回 FB Girlsの野望 with ムースと甘エビのタルタル、FB Monthly Fashion/第6回 雨の日コーデと親子コーデ、子供の無線教室/第6回 「電波はいろいろなところで大活躍!!」を掲載しました
2017.6.1
6月号をアップしました
2017.5.15
What a tasty time! ~グルメYLたちのGirl'sトーク♥~/第8回 番外編 春うらら♪豪華弁当でお花見、FB Monthly Fashion/第5回 ブラウス&シャツを使ったコーディネート、子供の無線教室/第5回 「周波数によって変わる、電波の特徴」を掲載しました
2017.5.1
5月号をアップしました
2017.4.17
What a tasty time! ~グルメYLたちのGirl'sトーク♥~/第7回 ARDFの思い出 with 2種類のソースのカルボナーラ、FB Monthly Fashion/第4回 Gジャンを使ったコーディネート、子供の無線教室/第4回 「電波の性質を覚えよう」を掲載しました
2017.4.1
4月号をアップしました
2017.3.15
What a tasty time! ~グルメYLたちのGirl'sトーク♥~/第6回 初めてのQSOの思い出 with グリーンのアクアパッツァ、FB Monthly Fashion/第3回 ピンクを使ったコーディネート、子供の無線教室/第3回 「電波はどうやって伝わるの?」を掲載しました
2017.3.1
3月号をアップしました
2017.2.15
What a tasty time! ~グルメYLたちのGirl'sトーク♥~/第5回 FB Girlsの試験の思い出 withウマ辛和風スープ、FB Monthly Fashion/第2回 デニムと明るめニットのコーディネートを掲載しました
2017.2.1
2月号をアップしました
2017.1.16
What a tasty time! ~グルメYLたちのGirl'sトーク♥~/第4回 YLハムを増やす秘策とは?! withおなかにやさしいお料理、【新連載】FB Monthly Fashion/第1回 アウター別おすすめコーディネート(ライダース・ノーカラー・ダッフル)を掲載しました
2017.1.5
1月号をアップしました
2016.12.15
What a tasty time! ~グルメYLたちのGirl'sトーク♥~/第3回 YLハムの行く年来る年 with ブイヤベースの洋風お鍋を掲載しました
2016.12.1
12月号をアップしました
2016.11.15
FB Girlsが行く!!~元気娘がアマチュア無線を体験~/<第3話>元気娘、秋の休日を楽しむ!!(後編)!、What a tasty time! ~グルメYLたちのGirl'sトーク♥~/第2回 YLハムの悩み解決!with サケのフレンチトーストを掲載しました
2016.11.1
11月号をアップしました
2016.10.17
FB Girlsが行く!!~元気娘がアマチュア無線を体験~/<第3話>元気娘、秋の休日を楽しむ!!(前編)!、【新連載】What a tasty time! ~グルメYLたちのGirl'sトーク♥~/第1回 FB GirlsのプライベートQSO with 土瓶蒸しのリゾットを掲載しました
アマチュア無線関連機関/団体
各総合通信局/総合通信事務所
アマチュア無線機器メーカー(JAIA会員)
次号は 12月 1日(木) に公開予定
©2026 月刊FBニュース編集部 All Rights Reserved.