今更聞けない無線と回路設計の話
2025年12月1日掲載
第13話では非線形歪みの影響を(強く)受けない範囲で、できるだけ大きな振幅を取り扱うために必要な知識として、PAPRの定義とバックオフの取り方について解説しました。非線形歪みの影響(非線形歪みによる信号劣化)を所望の範囲に抑えるための基本は「天井を高くとる」・・・ すなわち信号のPAPRに見合った大きさの増幅器を用いて、十分なバックオフを確保する事です。
しかし、バックオフを確保するということは、飽和出力の大きい増幅器を小さい出力で使用するということなので、機器の大きさと消費電力の観点からは望ましくありません。
第14話からはこの状況を改善する技術「負帰還」と「歪み補償」についてご紹介します。
図1は第13話でPSATとP1dBの解説に使用したデシベル表記の増幅器入出力特性図を真数グラフに書き換えると、どのように見えるかを示したものです。
一番左のグラフは入出力ともデシベル(dBm)で表記したグラフで、第12話からお見せしているもの、右がそれを真数(W)で書き直したものです。デシベル表示でみていると、トランジスタ増幅器というのはそこそこの線形性をもっているように見えますが、実は直線と見なせる範囲は飽和出力の一割もない事がわかります。この傾向は動作点をどこに置くか(無信号時のコレクタ電流値をどの程度にするか)で変化します。歪まない増幅を行うためには、信号電力の何倍ものバイアス電力を消費させて、飽和出力の1割以下の出力電力を取り出す事が必要なのです。よくよく考えるともったいない話ですね。従って、直線性よりも消費電力や発熱を気にする高出力増幅器になるほどバイアスはB級寄りに設定され、直線領域は小さくなります。
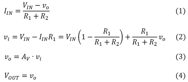
このもったいない状態を解消するために、一般に用いられるのが負帰還(Negative Feed Back → NFB)です。増幅器に負帰還をかけると利得は低下しますが、入出力特性は飽和出力付近までほぼ完全な線形に保つ事が可能です。負帰還回路の動作原理を図2に示します。
図2において、入力電圧VIN は増幅器には直接入力されず、直列抵抗R1 を介して入力されます。増幅器は電圧増幅度AV =
がマイナスの値、つまり反転増幅器として動作しています。オペアンプのシンボルで表現していますが、反転増幅器であればオペアンプである必要はありません。この増幅器の利得は十分に大きいものの線形性が担保されていない、つまり入力電圧によって|AV |の値が変化する想定です。増幅器の出力端子はR2 を介して入力端子と接続されていて、
R1 とR2 で負帰還回路を構成しています。回路の入力に電圧VIN が印加されると、R1 を介して増幅器の入力に電圧
が入力されます。このとき増幅器に流れ込む電流
(バイアス電流)を十分に小さい(つまり
≅ 0)と見なす事が出来れば、この回路の入出力電圧は(式2-1)の(1)~(4)に示す関係になります。

(式2-1)
結論から言うと、増幅器に負帰還がかかっているので、この回路の電圧増幅度ATOTAL=
の絶対値は増幅器単体の電圧増幅度AV の絶対値よりも小さな値になります。|ATOTAL|≪|AV |の関係か維持できている領域においては、
この回路の電圧増幅度ATOTAL はAV の大きさに関係なく

(式2-2)
となり、受動素子である抵抗器の諸元比だけで決定されます。抵抗器の諸元は印加される電圧や流れる電流の大きさで変化しないので増幅器の非線形性が補正される事になります。図2の解説では少々理解しにくいかも・・・ と思ったので負帰還回路の電圧関係が判りやすくなるように書き換えた等価回路が図3です。
図3はこの増幅回路の入力に+の電圧を入力したときの入出力の電圧関係が図の上から電圧の高い順に並ぶように書き換えたものです。図中の○で囲った“I” , “A” , “O” はノードを識別する記号で、図2の同じ記号のノードとそれぞれ対応します。増幅器は電圧可変の起電力
に置き換え、その電圧値は増幅器の入力電圧
で制御されるイメージです。
一般にこのような回路にキルヒホフの法則を適用して解析を行う場合は、本能的に電圧が一番低いポイントを0Vと定義して基準にとるのですが、この回路の場合はVIN 、
、
の共通端子がGNDすなわち0Vのポイントになっていて、一番電圧の低いポイントではないので、各電圧の極性に注意が必要です。
増幅回路が無入力、すなわち入力電圧VIN =0[V]のときは、出力電圧
も0Vです。
この状態からVIN が+の値に上昇すると図3のA点の電圧、すなわち増幅器の入力電圧
は(式2-1)の(1)(2)の関係から、最初は(出力電圧
が0Vなので)、

但し、
= 0[V]
(式2-3)
になろうとしますが、増幅器の出力電圧
と入力電圧
の間には(式2-1)(3)の関係があり、
の増加量のAV 倍の早さで
が負電圧に振れる結果、A点の電圧は(式2-3)の値にはならず、

(式2-4)
の関係が成立するところまで
が下がって釣り合います。このときの
がどういう値かというと、
図3が示すようにVIN と
とR1 , R2 に生じる電圧降下の間には、

(式2-5)
の関係があるので、(式2-4)を代入して

(式2-6)
となります。従って、この増幅回路の電圧増幅度ATOTAL は(式2-4)と(式2-6)より

(式2-7)
ここで(式2-1)(3)より、
=
なので、
増幅器の電圧増幅度AV が例えば100以上あれば
≅ 0とおいて計算しても、
この回路の電圧増幅度ATOTAL は1%以下の誤差に収まります。従って(式2-7)は、

(式2-8)
となり、増幅回路の利得(電圧増幅度)が負帰還回路の抵抗比だけで決定される事になります。
増幅回路の利得が増幅器の利得と関係なく負帰還回路の抵抗比で決まるということは、小振幅の動作でも大振幅の動作でも利得一定の増幅ができる。つまり歪みが発生しない増幅器を実現出来るということです。この様子を図4に示します。
この手法を積極的に活用しているのが演算増幅器(オペアンプ)です。市販のオペアンプICは単体電圧利得が概ね60~80dB(1000~10000倍)あり、これを負帰還回路によって20dB(10倍)以下の利得で使用するのが一般的な使い方です。この条件においては図5に示すようにA点を仮想のGNDと見なす事が可能であり、回路の入力インピーダンスも外部回路で決定されます。
オペアンプICは低周波の小信号を扱う想定なので、内部の増幅回路は線形性の良いA級バイアスまたはB級バイアスでもプッシュプル回路で設計されるのが一般的です。従ってPSAT(飽和出力レベル)まで利得低下が小さく(第11話の図2の右側の特性に近い)、これを用いた負帰還増幅回路においては電源電圧に近い大きさの振幅まで、線形性を保った状態で出力することが可能です。
これに対して高周波増幅回路、特に送信機の高出力増幅回路のように単体利得AV が小さく、 かつB~C級バイアスの適用でP1dB~PSATまでの入力レベル差が比較的大きい増幅器に負帰還を行っても同様の効果を得ることが出来るのでしょうか。 図6は図1の入出力特性の増幅器(利得30dB、PSAT: 36.5dBm、P1dB: 24dBm)に負帰還をかけて、 回路の電圧利得ATOTAL=10dB(R1 :R2 が1:3.16になるように諸元設定)で使用した場合の特性をExcelで模擬計算したものです。ここでは所定の出力振幅を得るために必要な入力電圧を赤のグラフプロットから読み取った利得で計算し、 回路の入力電圧VIN をこの値で補正したときの回路利得を計算して 青のグラフプロットに示しています。
図から判るように利得の小さい増幅器でも、負帰還を行って増幅器単体利得AV の1/10程度の回路利得ATOTAL で使用することにより、回路のP1dBを5dB程度改善することが出来ました。但し効果は限定的といえます。このように負帰還回路による直線性(歪み)の改善は、増幅器の利得を大きく下げて利用する、言い換えると裸の利得が大きい増幅器でなければ大きな効果は得られないという本質的な問題を抱えています。また増幅する信号の振動周期(周波数)に対して、帰還回路の遅延時間が無視できなくなると、負帰還回路が負帰還にならずに回路動作が不安定になります※1。このため無線通信用の高周波増幅回路では、発振防止目的の位相補正を除き、このタイプの負帰還回路はあまり利用されません。
ということで、無線通信用の高周波増幅回路では「歪み補償回路」という技術が適用されるのですが、第14話では書き切ることが出来ませんでしたので、次号にて解説させていただくことにします。第14話では増幅器の「歪まない振幅領域」というのが、飽和出力(電源電圧一杯の電圧振幅を出力させた状態)に対して如何に小さい振幅範囲かという事と、これを改善する基本手段である負帰還増幅の考え方について解説しました。信号を歪ませないために、増幅器の飽和出力に対して小さい振幅範囲で使用するというのは、消費電力の観点では非常に不経済な使い方です。このため増幅回路をなるべく飽和振幅ギリギリまで使うための様々な技術が昔から開発されてきました。増幅器の負帰還は制御工学で発達した技術ですが、増幅器の特性改善手段としても大変有用です。高周波回路においての直接的な利用は限定されますが、第15話で解説する予定の各種の歪み補償回路においても、その概念は適用されるので、少し詳しく解説させていただきました。以下、第14話の要点です。
第15話は高周波高出力増幅回路において非線形歪みを改善する方法について解説したいと思います。
今更聞けない無線と回路設計の話 バックナンバー
アマチュア無線関連機関/団体
各総合通信局/総合通信事務所
アマチュア無線機器メーカー(JAIA会員)
©2026 月刊FBニュース編集部 All Rights Reserved.